Analytische Geometrie und lineare Algebra

12. Klasse Gymnasium

Frage:
Wird durch die folgende Gleichung eine Kugel beschrieben?
Falls ja, bestimme Mittelpunkt und Radius.


Aufgabe 1)
  
Gegeben ist die folgende Gleichung:

Analytische Geometrie und Lineare Algebra- Die Kugel


Lösung:
Um diese Frage beantworten zu können, müssen wir die Gleichung zunächst unter
Anwendung der quadratischen Ergänzung umformen und später unter Anwendung
der binomischen Formeln in die typische Kugel-Gleichung umwandeln.

Analytische Geometrie und Lineare Algebra- Die Kugel


Aufgabe 2)  
Gegeben ist die folgende Gleichung:

Analytische Geometrie und Lineare Algebra- Die Kugel

Wir wandeln zunächst um ...

Analytische Geometrie und Lineare Algebra- Die Kugel



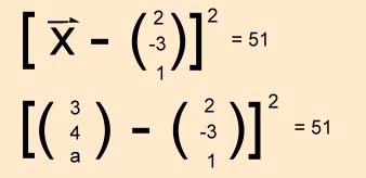
Aufgabe 3)  
Für welches a aus der Menge der reellen Zahlen liegt der Punkt ( 3/4 /a) auf der Kugel
bzw. innerhalb und außerhalb der Kugel ??

Analytische Geometrie und Lineare Algebra- Die Kugel

Lösung:
Analytische Geometrie und Lineare Algebra- Die Kugel

Analytische Geometrie und Lineare Algebra- Die Kugel

Anwendung der abc- Formel (Mitternachtsformel):

Analytische Geometrie und Lineare Algebra- Die Kugel

Antwort:
Bei a = 1 liegt der Punkt (3/4/1) auf der Kugel.
Bei a<1 liegt der Punkt innerhalb der Kugel und bei a>1 liegt der Punkt außerhalb.



s. auch:

-> Parametergleichungen von Geraden aufstellen,
Geradenpunkte ermitteln

-> Vektorielle Darstellung von Geraden im dreidimensionalen Raum

-> Punktproben im 3-dimenionalen Raum

-> Ebenen darstellen aus zwei Geraden


Mathe Abi Lernhilfen:
(thematisch sortiert ...)

Mathematik Abitur Lernhilfen. (Oberstufe)
Mathematik Abitur Lernhilfen. (Oberstufe)
Mathe Lernhilfen
" Analytische Geometrie"

Mathe Lernhilfe
Oberstufe:
(Klett Verlag)

Mathe Lernhilfen Analytische Geometrie - für den Grundkurs/Leistungskurs in der Oberstufe
Lineare Algebra und analytische Geometrie
(Oberstufe)
-> weitere Mathe
Abitur Lernhilfen

Mathe Lernhilfe
Oberstufe:
(Stark Verlag)

 Mathe Lernhilfen Analytische Geometrie. Grundkurs/Leistungskurs Oberstufe
Analytische Geometrie
Bayern
(Oberstufe)

Analytische Geometrie. Übungsaufgaben mit Lösungen
Analytische Geometrie
Abitur Training
(Oberstufe)
-> weitere Abitur Lernhilfen von Stark


Mathematik Lösungsbücher
Oberstufe:

Mathematik Oberstufe. Abitur- und Klausurtraining
Lambacher Schweizer
Mathematik

Abitur- und Klausurtraining GK


Mathematik Lösungsbücher
Oberstufe:
(Klett Verlag)

 Mathe Lernhilfen Analysis für den Grundkurs/Leistungskurs  in der Oberstufe
Lambacher Schweizer
Mathematik GK

(Rheinland-Pfalz)

 Mathe Lernhilfen Analysis für den Grundkurs/Leistungskurs  in der Oberstufe
Analytische Geometrie und lineare Algebra
LS Leistungskurs
Ausgabe A

(Baden-Württemberg, Hessen, Niedersachsen)


 Mathe Lernhilfen Analysis für den Grundkurs/Leistungskurs  in der Oberstufe
Analytische Geometrie und lineare Algebra
LS Grundkurs
Ausgabe A

(Baden-Württemberg, Hessen, Niedersachsen)

-> weitere Klett Lösungsbücher



© www.schule-studium.de

-> Unterrichtsmaterial

-> Mathe Stationenlernen

-> Mathe Unterricht

Die Schul- und Verlagsplattform für das Schulwesen
Unterrichtsmaterialien (Mathe Kopiervorlagen, Mathe Arbeitsblätter, Stundenblätter, Arbeitsmittel, u.v.m.)
Surftipp: Besuchen Sie doch auch folgende Webseiten:

Abi Lernhilfen
Mathe Unterrichtsmaterial

:
:

www.abi-lernhilfen.com
www.mathe-unterrichtsmaterial.de